

ANNOUNCEMENT
On the Conversion of equivalent admission scores between Undergraduate admission methods in 2025
- Pursuant to the Regulations on Admission to Undergraduate Programs and Admission to College-level Programs in Early Childhood Education programs, issued together with Circular No. 08/2022/TT-BGDĐT dated 6 June 2022 and amended and supplemented by Circular No. 06/2025/TT-BGDĐT dated 19 March 2025 by the Minister of Education and Training;
- Pursuant to the 2025 Implementation Plan for Admission to Undergraduate Programs and Admission to College-level Programs, issued together with Decision No. 1363/QĐ-BGDĐT dated 19 May 2025 by the Minister of Education and Training;
- Pursuant to Official Dispatch No. 2457/BGDĐT-GDĐH dated 19 May 2025 of the Ministry of Education and Training providing Guidance on Admission to Undergraduate Programs and Admission to College-level Programs;
- Pursuant to Decision No. 450/QĐ-HVNG dated 26 March 2025 by the President of the Diplomatic Academy of Viet Nam on the establishment of the 2025 Undergraduate Admissions Council;
- Pursuant to the 2025 Admission Information of the Diplomatic Academy of Viet Nam;
- Pursuant to the results of the 2025 National High School Graduation Exam;
- Pursuant to the general guidelines of the Ministry of Education and Training, the Academy applies the percentile method to determine equivalent admission scores across its various admission methods;
- On the basis of referencing the correlation between scores of the National High School Graduation Exam subjects and high school academic performance, the score distribution of the 2025 National High School Graduation Exam, and the statistics and evaluation of admission results and academic performance of the Academy’s students over the past three years.
The 2025 Undergraduate Admissions Council of the Diplomatic Academy of Viet Nam hereby announces the table of converted equivalent admission scores between the different admission methods of the year 2025 as follows:

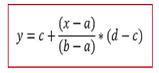
The calculation of equivalent admission scores between different admission methods uses the following formula (*):

Example: The admission score of the International Relations major under the admission method based on the results of the 2025 National High School Graduation Exam with subject combination D01 is 24.8 points (x = 24.8). This score falls into percentile range 3 (Range 3), which corresponds to National High School Graduation Exam scores from 24.5 to 25.5. The equivalent admission score under the combined admission method will belong to the corresponding percentile range (Range 3), with combined admission scores from 27.0 to 27.5. From this, the equivalent conversion coefficients are:
a = 24.5; b = 25.5; c = 27.0; d = 27.5
Applying formula (*), the equivalent admission score under the combined admission method is calculated as:

For further information, please contact: Undergraduate Affairs Office, Diplomatic Academy of Viet Nam. Address: 69 Chua Lang Street, Dong Da District, Hanoi
- Hotline: 0943.482.840 or 0936.018.433
- Email: tuyensinh2025@dav.edu.vn
- Website: https://www.dav.edu.vn
- Fanpage: Tư vấn Tuyển sinh Học viện Ngoại giao
Formally announced./.
CHAIR OF THE ADMISSIONS COUNCIL PRESIDENT (Signed) Dr. Nguyen Hung Son |